Официальное опубликование правовых актов
ОФИЦИАЛЬНОЕ ОПУБЛИКОВАНИЕ
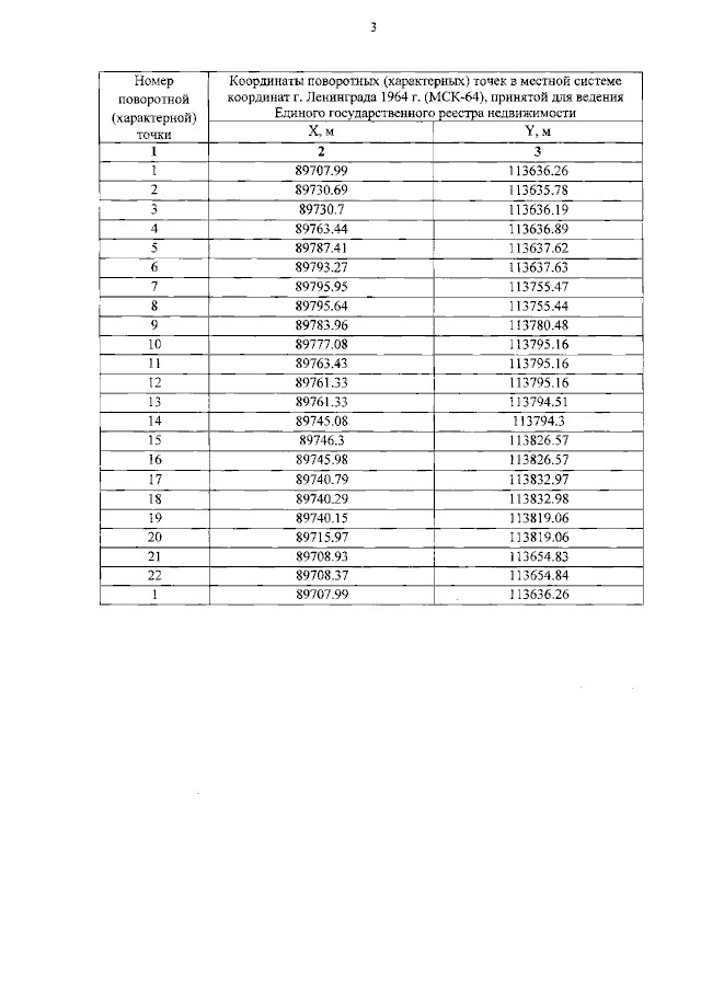
Распоряжение Комитета по государственному контролю, использованию и охране памятников истории и культуры Санкт-Петербурга от 15.06.2023 № 461-рп
"Об утверждении границ и режима использования территории объекта культурного наследия регионального значения "Комплекс построек акционерного общества "Просвещение" Н.С. Цетлина и А.Мейера"
(Зарегистрирован 23.06.2023 № 35209)
Номер опубликования: 7801202306260013
Дата опубликования: 26.06.2023
Страница №5 из 6:
Увеличить