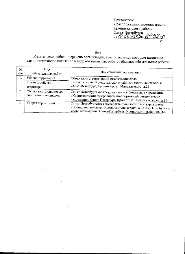
Распоряжение Администрации Кронштадтского района Санкт-Петербурга от 16.06.2023 № 2469-р
"О внесении изменений в распоряжение администрации Кронштадтского района Санкт-Петербурга от 26.02.2019 № 729-р"
(Зарегистрирован 16.06.2023 № 35169)
"О внесении изменений в распоряжение администрации Кронштадтского района Санкт-Петербурга от 26.02.2019 № 729-р"
(Зарегистрирован 16.06.2023 № 35169)
Номер опубликования: 7801202306190007
Дата опубликования:
19.06.2023
