Официальное опубликование правовых актов
ОФИЦИАЛЬНОЕ ОПУБЛИКОВАНИЕ
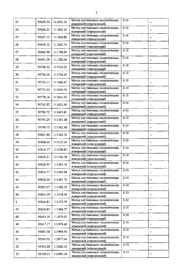
Распоряжение Комитета по государственному контролю, использованию и охране памятников истории и культуры Санкт-Петербурга от 16.06.2023 № 463-рп
"Об утверждении границ и режима использования территории объекта культурного наследия федерального значения "Набережная Тучкова (ныне Макарова)"
(Зарегистрирован 16.06.2023 № 35168)
Номер опубликования: 7801202306190002
Дата опубликования: 19.06.2023
Страница №5 из 8:
Увеличить