Официальное опубликование правовых актов
ОФИЦИАЛЬНОЕ ОПУБЛИКОВАНИЕ
Распоряжение Комитета по государственному контролю, использованию и охране памятников истории и культуры Санкт-Петербурга от 07.06.2023 № 431-рп
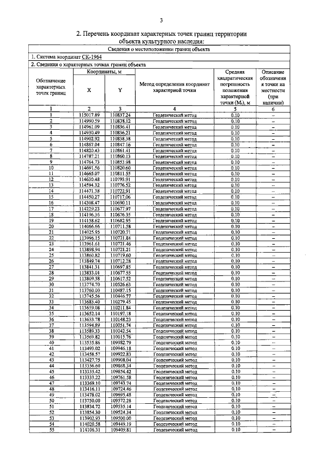
"Об утверждении границ и режима использования территории объекта культурного наследия регионального значения "Усадьба Лопухиной Е.И. (Левашовых, Вяземских) "Осиновая Роща"
(Зарегистрирован 07.06.2023 № 35091)
Номер опубликования: 7801202306130009
Дата опубликования: 13.06.2023
Страница №5 из 9:
Увеличить