Официальное опубликование правовых актов
ОФИЦИАЛЬНОЕ ОПУБЛИКОВАНИЕ
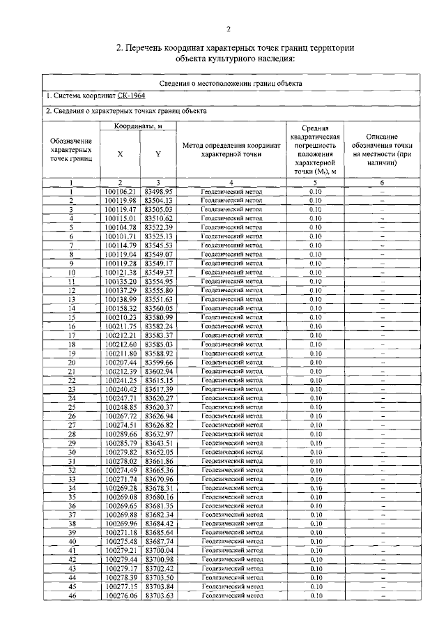
Распоряжение Комитета по государственному контролю, использованию и охране памятников истории и культуры Санкт-Петербурга от 31.05.2023 № 405-рп
"Об утверждении границ и режима использования территории объекта культурного наследия федерального значения "Летний сад"
(Зарегистрирован 31.05.2023 № 35018)
Номер опубликования: 7801202306050007
Дата опубликования: 05.06.2023
Страница №4 из 6:
Увеличить