Официальное опубликование правовых актов
ОФИЦИАЛЬНОЕ ОПУБЛИКОВАНИЕ
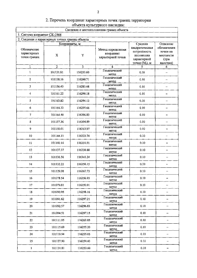
Распоряжение Комитета по государственному контролю, использованию и охране памятников истории и культуры Санкт-Петербурга от 27.04.2023 № 305-рп
"Об утверждении границ и режима использования территории объекта культурного наследия регионального значения "Круглая баня"
(Зарегистрирован 27.04.2023 № 34782)
Номер опубликования: 7801202305020003
Дата опубликования: 02.05.2023
Страница №4 из 5:
Увеличить