Официальное опубликование правовых актов
ОФИЦИАЛЬНОЕ ОПУБЛИКОВАНИЕ
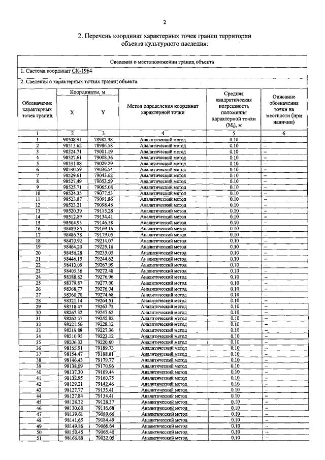
Распоряжение Комитета по государственному контролю, использованию и охране памятников истории и культуры Санкт-Петербурга от 26.04.2023 № 292-рп
"Об утверждении границ и режима использования территории объекта культурного наследия федерального значения "Батарея южная № 3 ("Милютин")"
(Зарегистрирован 27.04.2023 № 34765)
Номер опубликования: 7801202304280006
Дата опубликования: 28.04.2023
Страница №4 из 6:
Увеличить