Официальное опубликование правовых актов
ОФИЦИАЛЬНОЕ ОПУБЛИКОВАНИЕ
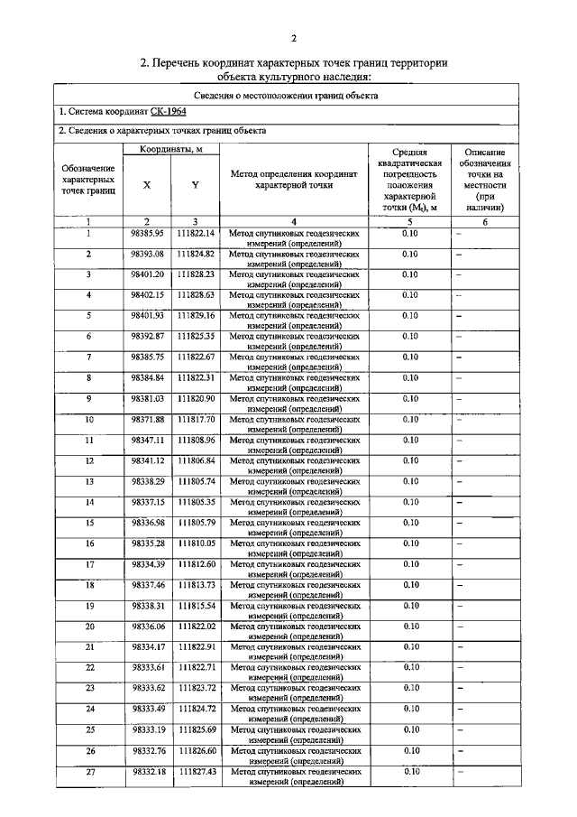
Распоряжение Комитета по государственному контролю, использованию и охране памятников истории и культуры Санкт-Петербурга от 25.04.2023 № 289-рп
"Об утверждении границ и режима использования территории объекта культурного наследия регионального значения "Особняк Путилова А.И. с флигелем, палисадником, оградой"
(Зарегистрирован 26.04.2023 № 34749)
Номер опубликования: 7801202304270018
Дата опубликования: 27.04.2023
Страница №4 из 6:
Увеличить