Официальное опубликование правовых актов
ОФИЦИАЛЬНОЕ ОПУБЛИКОВАНИЕ
Распоряжение Комитета по государственному контролю, использованию и охране памятников истории и культуры Санкт-Петербурга от 19.04.2023 № 265-рп
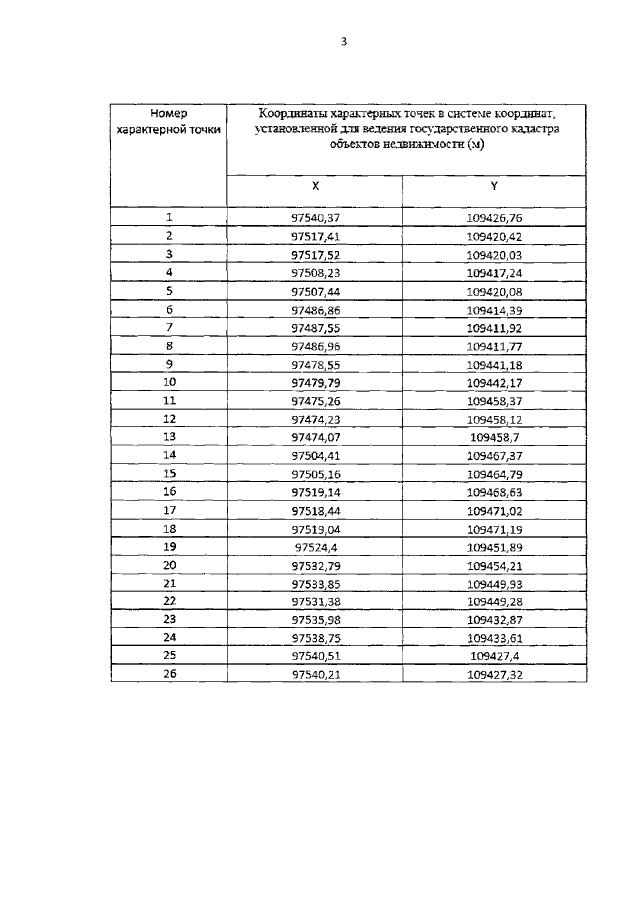
"О включении выявленного объекта культурного наследия в единый государственный реестр объектов культурного наследия (памятников истории и культуры) народов Российской Федерации в качестве объекта культурного наследия регионального значения "Главное здание Центрального ленинградского яхт-клуба", об утверждении границ, режима использования территории и предмета охраны объекта культурного наследия"
(Зарегистрирован 20.04.2023 № 34689)
Номер опубликования: 7801202304260045
Дата опубликования: 26.04.2023
Страница №5 из 12:
Увеличить