Официальное опубликование правовых актов
ОФИЦИАЛЬНОЕ ОПУБЛИКОВАНИЕ
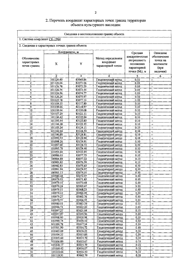
Распоряжение Комитета по государственному контролю, использованию и охране памятников истории и культуры Санкт-Петербурга от 18.04.2023 № 249-рп
"Об утверждении границ и режима использования территории объекта культурного наследия федерального значения "Гостиный двор"
(Зарегистрирован 20.04.2023 № 34674)
Номер опубликования: 7801202304260009
Дата опубликования: 26.04.2023
Страница №4 из 6:
Увеличить