Официальное опубликование правовых актов
ОФИЦИАЛЬНОЕ ОПУБЛИКОВАНИЕ
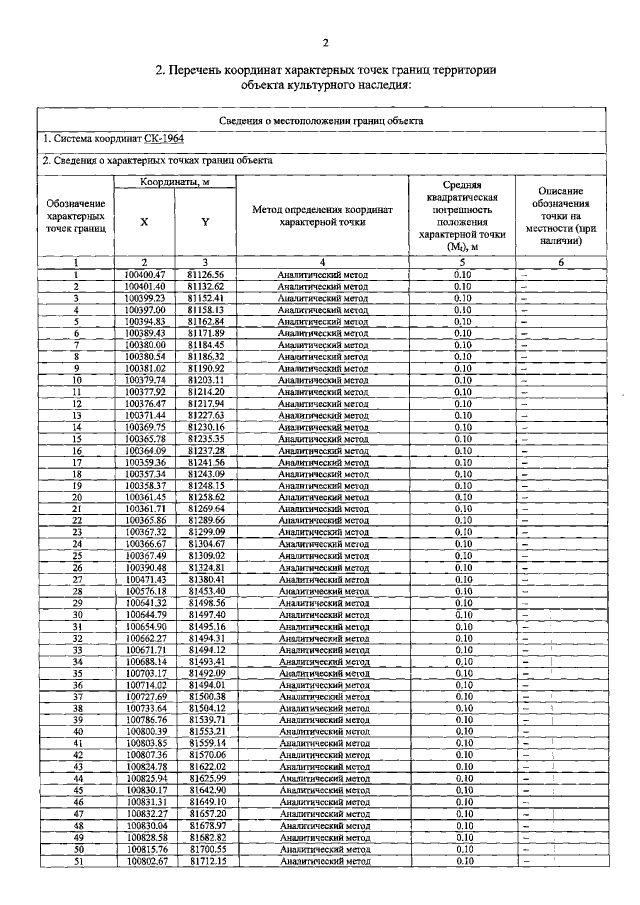
Распоряжение Комитета по государственному контролю, использованию и охране памятников истории и культуры Санкт-Петербурга от 18.04.2023 № 256-рп
"Об утверждении границ и режима использования территории объекта культурного наследия федерального значения "Форт "Петр I"
(Зарегистрирован 20.04.2023 № 34683)
Номер опубликования: 7801202304260001
Дата опубликования: 26.04.2023
Страница №4 из 7:
Увеличить