Официальное опубликование правовых актов
ОФИЦИАЛЬНОЕ ОПУБЛИКОВАНИЕ
Распоряжение Комитета по государственному контролю, использованию и охране памятников истории и культуры Санкт-Петербурга от 07.03.2023 № 160-рп
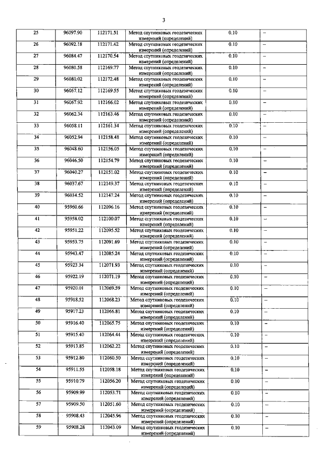
"Об утверждении границ и режима использования территории объекта культурного наследия регионального значения "Набережная стадиона им. В.И.Ленина (кольцевая)"
(Зарегистрирован 09.03.2023 № 34420)
Номер опубликования: 7801202303100009
Дата опубликования: 10.03.2023
Страница №5 из 9:
Увеличить