Официальное опубликование правовых актов
ОФИЦИАЛЬНОЕ ОПУБЛИКОВАНИЕ
Распоряжение Комитета по государственному контролю, использованию и охране памятников истории и культуры Санкт-Петербурга от 06.03.2023 № 157-рп
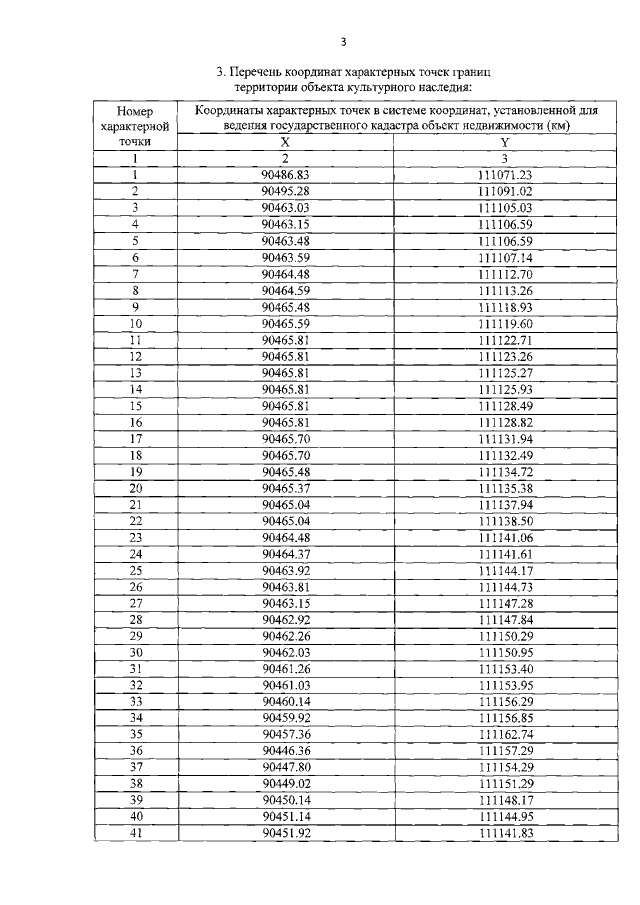
"О включении выявленного объекта культурного наследия в единый государственный реестр объектов культурного наследия (памятников истории и культуры) народов Российской Федерации в качестве объекта культурного наследия регионального значения "Здание стадиона "Кировец" ("Красный треугольник")", об утверждении границ, режима использования территории и предмета охраны объекта культурного наследия"
(Зарегистрирован 07.03.2023 № 34410)
Номер опубликования: 7801202303070025
Дата опубликования: 07.03.2023
Страница №5 из 13:
Увеличить