Официальное опубликование правовых актов
ОФИЦИАЛЬНОЕ ОПУБЛИКОВАНИЕ
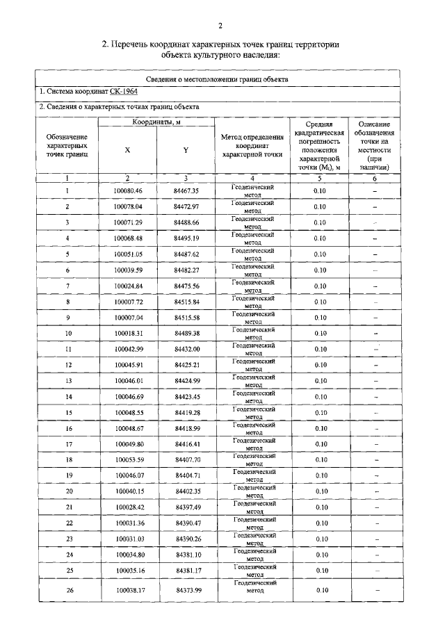
Распоряжение Комитета по государственному контролю, использованию и охране памятников истории и культуры Санкт-Петербурга от 14.02.2023 № 118-рп
"Об утверждении границ и режима использования территории объекта культурного наследия федерального значения "Храм лютеранский святой Елизаветы"
(Зарегистрирован 17.02.2023 № 34322)
Номер опубликования: 7801202302170012
Дата опубликования: 17.02.2023
Страница №4 из 6:
Увеличить