Официальное опубликование правовых актов
ОФИЦИАЛЬНОЕ ОПУБЛИКОВАНИЕ
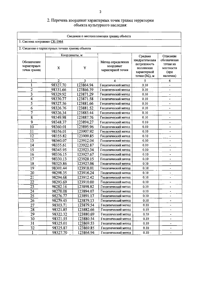
Распоряжение Комитета по государственному контролю, использованию и охране памятников истории и культуры Санкт-Петербурга от 08.02.2023 № 101-рп
"Об утверждении границ и режима использования территории объекта культурного наследия регионального значения "Братское захоронение воинов Советской Армии и жителей Ленинграда, погибших в годы Великой Отечественной войны 1941-1945 гг."
(Зарегистрирован 10.02.2023 № 34283)
Номер опубликования: 7801202302140013
Дата опубликования: 14.02.2023
Страница №4 из 5:
Увеличить