Официальное опубликование правовых актов
ОФИЦИАЛЬНОЕ ОПУБЛИКОВАНИЕ
Распоряжение Комитета по государственному контролю, использованию и охране памятников истории и культуры Санкт-Петербурга от 08.02.2023 № 99-рп
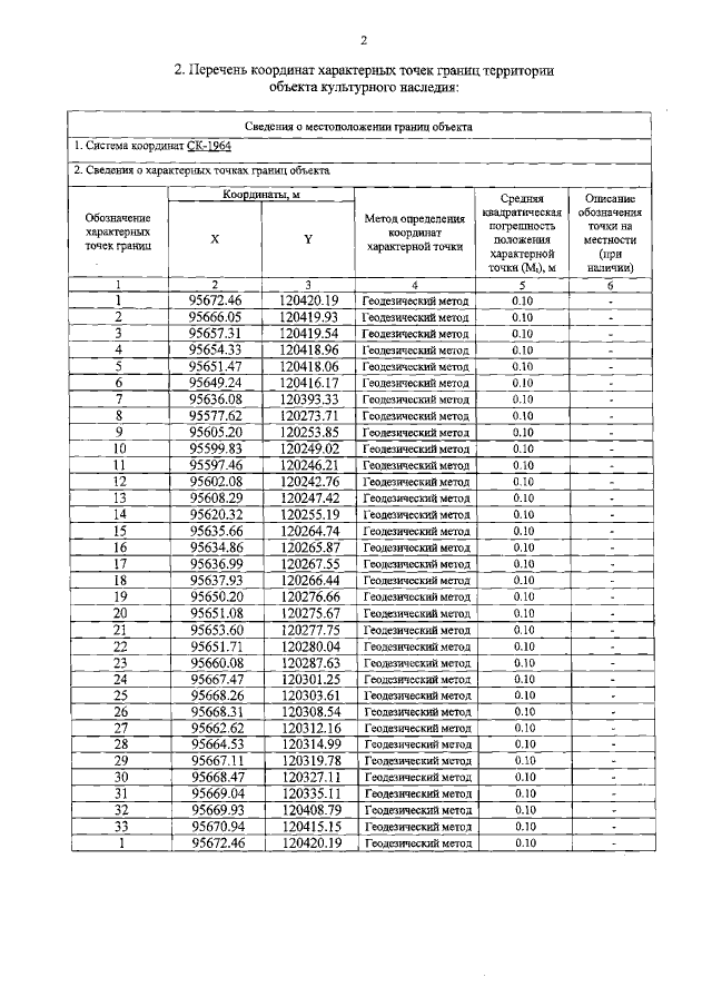
"Об утверждении границ и режима использования территории объекта культурного наследия регионального значения "Братская могила советских воинов, погибших в войну с белофиннами 1939 -1941 г.г."
(Зарегистрирован 10.02.2023 № 34281)
Номер опубликования: 7801202302140010
Дата опубликования: 14.02.2023
Страница №4 из 5:
Увеличить