Официальное опубликование правовых актов
ОФИЦИАЛЬНОЕ ОПУБЛИКОВАНИЕ
Распоряжение Комитета по государственному контролю, использованию и охране памятников истории и культуры Санкт-Петербурга от 01.02.2023 № 84-рп
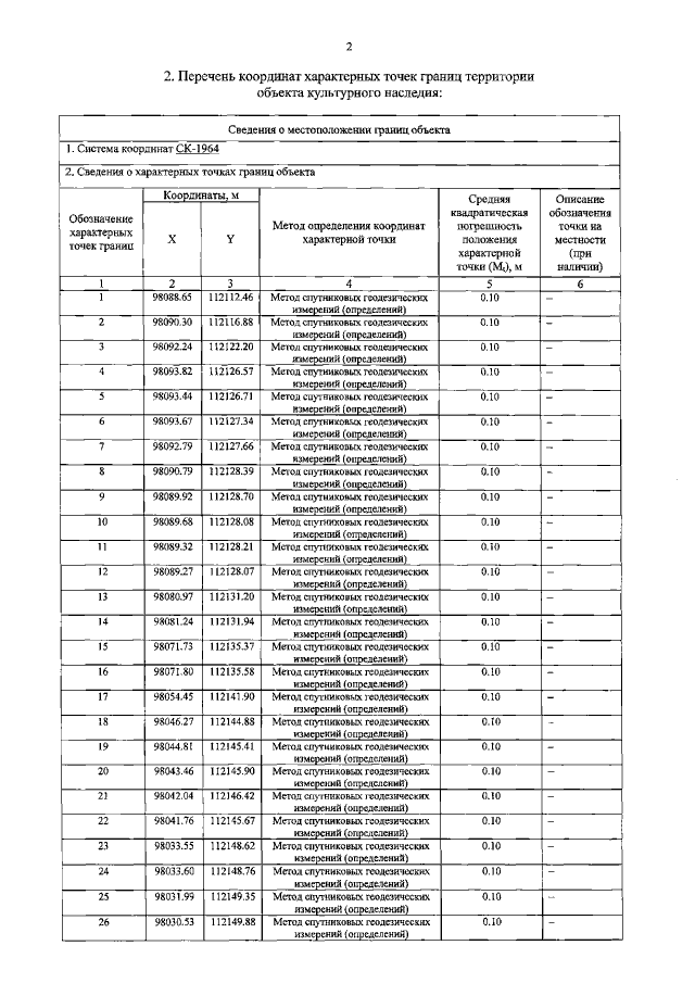
"Об утверждении границ и режима использования территории объекта культурного наследия регионального значения "Жилое и административное здание сооружений Второй очереди Петроградского городского трамвая"
(Зарегистрирован 07.02.2023 № 34247)
Номер опубликования: 7801202302080011
Дата опубликования: 08.02.2023
Страница №4 из 6:
Увеличить