Официальное опубликование правовых актов
ОФИЦИАЛЬНОЕ ОПУБЛИКОВАНИЕ
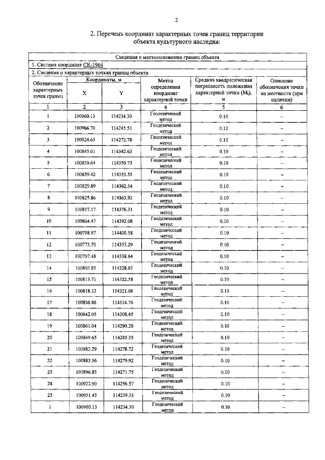
Распоряжение Комитета по государственному контролю, использованию и охране памятников истории и культуры Санкт-Петербурга от 19.01.2023 № 35-рп
"Об утверждении границ и режима использования территории объекта культурного наследия регионального значения "Вокзал железнодорожной станции Ланская"
(Зарегистрирован 23.01.2023 № 34153)
Номер опубликования: 7801202301240005
Дата опубликования: 24.01.2023
Страница №4 из 5:
Увеличить