Официальное опубликование правовых актов
ОФИЦИАЛЬНОЕ ОПУБЛИКОВАНИЕ
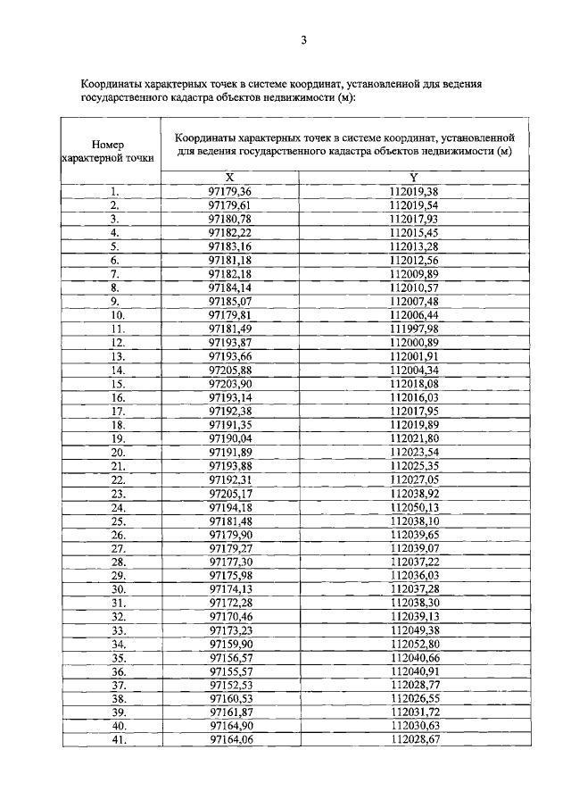
Распоряжение Комитета по государственному контролю, использованию и охране памятников истории и культуры Санкт-Петербурга от 19.01.2023 № 32-рп
"Об утверждении границ и режима использования территории объекта культурного наследия регионального значения "Детский сад фабрики "Красное знамя"
(Зарегистрирован 20.01.2023 № 34147)
Номер опубликования: 7801202301230004
Дата опубликования: 23.01.2023
Страница №5 из 7:
Увеличить