Официальное опубликование правовых актов
ОФИЦИАЛЬНОЕ ОПУБЛИКОВАНИЕ
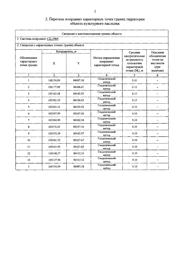
Распоряжение Комитета по государственному контролю, использованию и охране памятников истории и культуры Санкт-Петербурга от 26.12.2022 № 617-рп
"Об утверждении границ и режима использования территории объекта культурного наследия регионального значения "Съезжий дом Морской части"
Номер опубликования: 7801202212290013
Дата опубликования: 29.12.2022
Страница №4 из 5:
Увеличить