Официальное опубликование правовых актов
ОФИЦИАЛЬНОЕ ОПУБЛИКОВАНИЕ
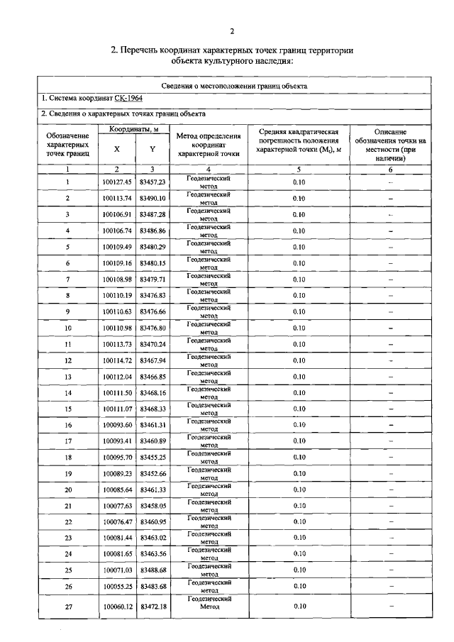
Распоряжение Комитета по государственному контролю, использованию и охране памятников истории и культуры Санкт-Петербурга от 26.12.2022 № 618-рп
"Об утверждении границ и режима использования территории объекта культурного наследия регионального значения "Жилой дом купца Васильева"
Номер опубликования: 7801202212280006
Дата опубликования: 28.12.2022
Страница №4 из 6:
Увеличить