Официальное опубликование правовых актов
ОФИЦИАЛЬНОЕ ОПУБЛИКОВАНИЕ
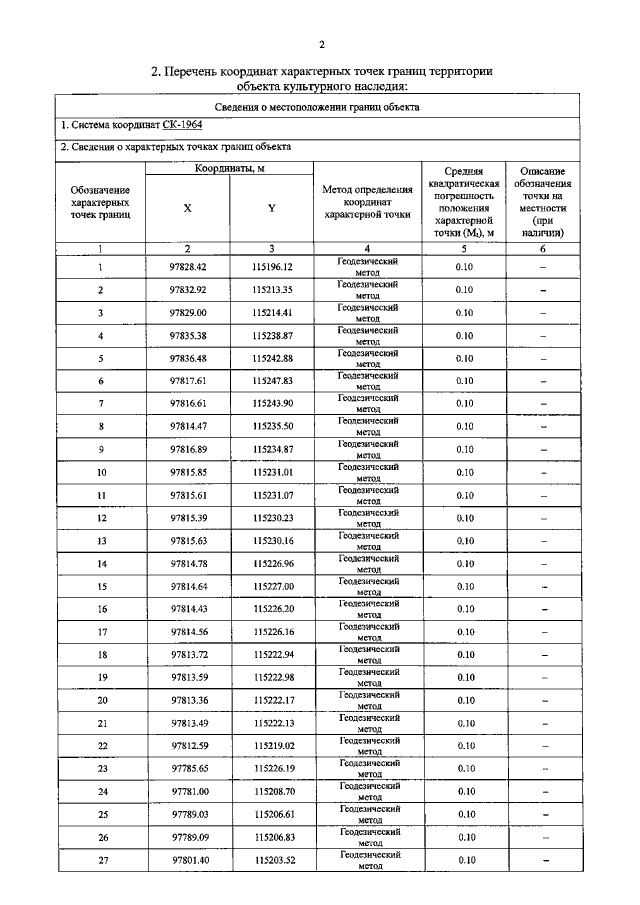
Распоряжение Комитета по государственному контролю, использованию и охране памятников истории и культуры Санкт-Петербурга от 20.12.2022 № 577-рп
"Об утверждении границ и режима использования территории объекта культурного наследия регионального значения "Дом, где в 1917 г. начал работу VI съезд РСДРП(б)"
Номер опубликования: 7801202212220024
Дата опубликования: 22.12.2022
Страница №4 из 6:
Увеличить