Официальное опубликование правовых актов
ОФИЦИАЛЬНОЕ ОПУБЛИКОВАНИЕ
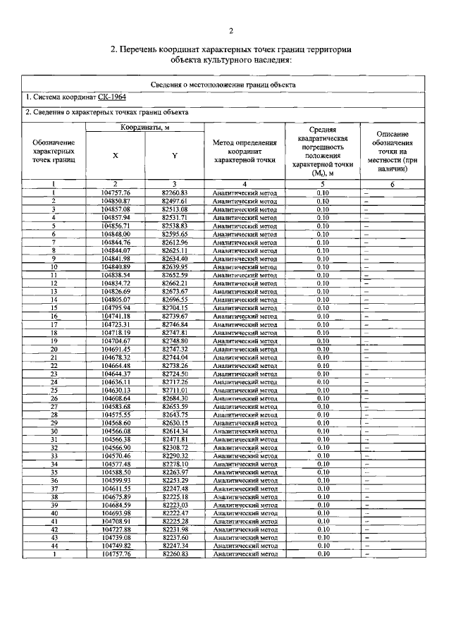
Распоряжение Комитета по государственному контролю, использованию и охране памятников истории и культуры Санкт-Петербурга от 20.12.2022 № 579-рп
"Об утверждении границ и режима использования территории объекта культурного наследия федерального значения "Батарея северная № 1"
Номер опубликования: 7801202212220021
Дата опубликования: 22.12.2022
Страница №4 из 5:
Увеличить