Официальное опубликование правовых актов
ОФИЦИАЛЬНОЕ ОПУБЛИКОВАНИЕ
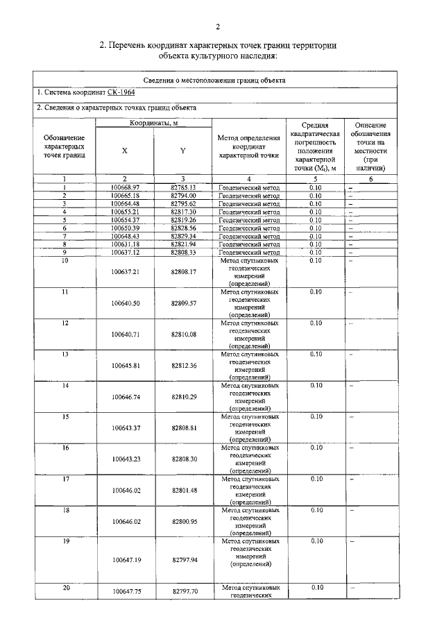
Распоряжение Комитета по государственному контролю, использованию и охране памятников истории и культуры Санкт-Петербурга от 14.11.2022 № 470-рп
"Об утверждении границ и режима использования территории объекта культурного наследия регионального значения "Жилой дом"
Номер опубликования: 7801202211180005
Дата опубликования: 18.11.2022
Страница №4 из 6:
Увеличить