Официальное опубликование правовых актов
ОФИЦИАЛЬНОЕ ОПУБЛИКОВАНИЕ
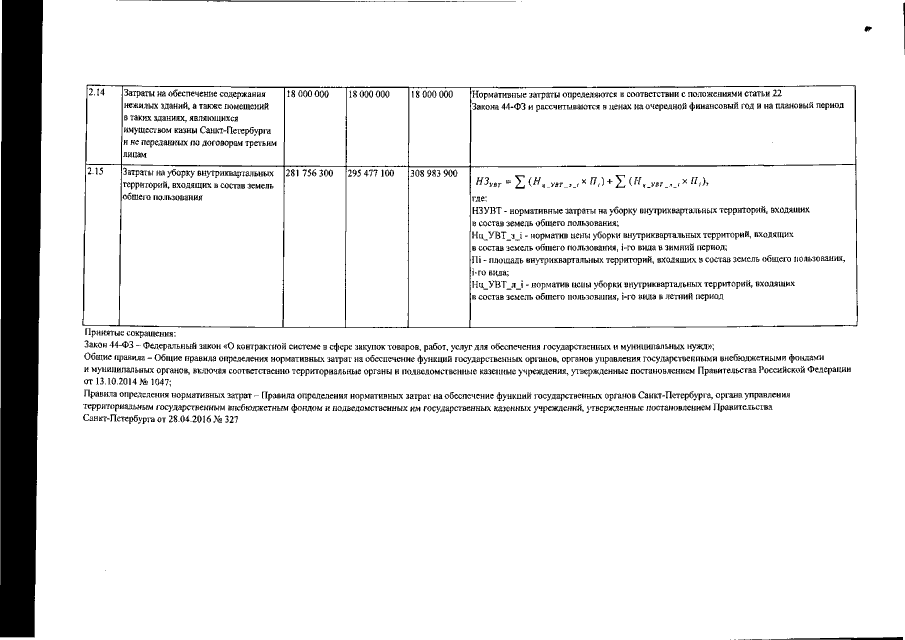
Распоряжение Администрации Центрального района Санкт-Петербурга от 30.06.2022 № 4320-р
"Об утверждении нормативных затрат на обеспечение функций администрации Центрального района Санкт-Петербурга и находящихся в ее ведении государственных казенных учреждений на 2023 год и плановый период 2024 и 2025 годов"
Номер опубликования: 7801202207060001
Дата опубликования: 06.07.2022
Страница №28 из 36:
Увеличить