Официальное опубликование правовых актов
ОФИЦИАЛЬНОЕ ОПУБЛИКОВАНИЕ
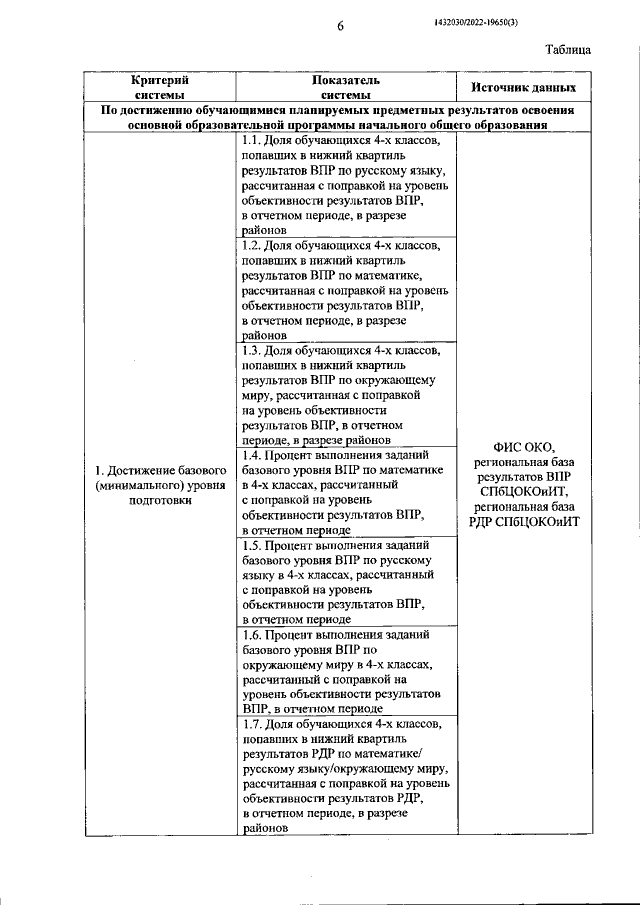
Распоряжение Комитета по образованию Санкт-Петербурга от 24.05.2022 № 1011-р
"Об утверждении Положения о системе оценки качества подготовки обучающихся в Санкт-Петербурге и плана-графика мероприятий по развитию системы оценки качества подготовки обучающихся в Санкт-Петербурге"
Номер опубликования: 7801202206020019
Дата опубликования: 02.06.2022
Страница №7 из 25:
Увеличить