Официальное опубликование правовых актов
ОФИЦИАЛЬНОЕ ОПУБЛИКОВАНИЕ
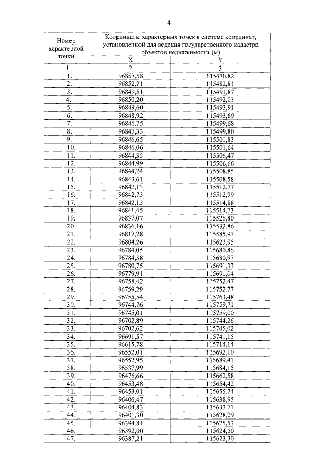
Распоряжение Комитета по государственному контролю, использованию и охране памятников истории и культуры Санкт-Петербурга от 18.05.2022 № 308-рп
"Об утверждении границ и режима использования территории объекта культурного наследия федерального значения "Академия Императорская Медико-хирургическая (Военно-Медицинская)"
Номер опубликования: 7801202205200001
Дата опубликования: 20.05.2022
Страница №6 из 10:
Увеличить