Официальное опубликование правовых актов
ОФИЦИАЛЬНОЕ ОПУБЛИКОВАНИЕ
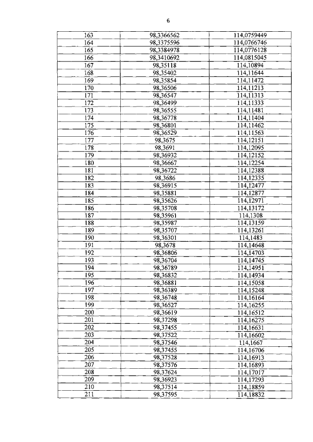
Распоряжение Комитета по государственному контролю, использованию и охране памятников истории и культуры Санкт-Петербурга от 07.04.2022 № 273-рп
"О включении в перечень выявленных объектов культурного наследия объекта, обладающего признаками объекта культурного наследия "Корпус № 5 Ленинградского электротехнического института", об утверждении границ территории объекта культурного наследия"
Номер опубликования: 7801202204120007
Дата опубликования: 12.04.2022
Страница №8 из 8:
Увеличить