Официальное опубликование правовых актов
ОФИЦИАЛЬНОЕ ОПУБЛИКОВАНИЕ
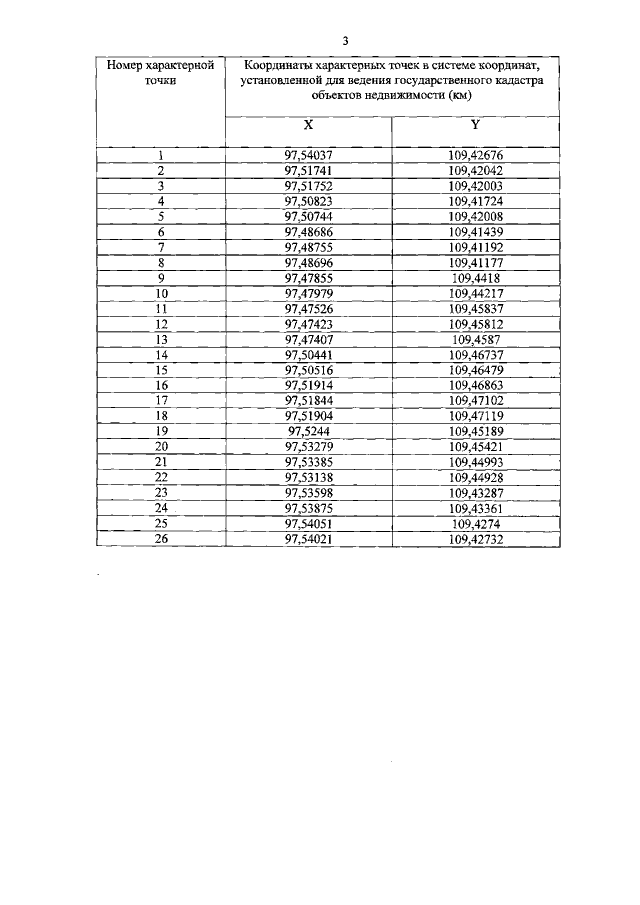
Распоряжение Комитета по государственному контролю, использованию и охране памятников истории и культуры Санкт-Петербурга от 07.04.2022 № 275-рп
"О включении в перечень выявленных объектов культурного наследия объекта, обладающего признаками объекта культурного наследия "Главное здание Центрального ленинградского яхт-клуба", об утверждении границ территории объекта культурного наследия"
Номер опубликования: 7801202204120004
Дата опубликования: 12.04.2022
Страница №5 из 5:
Увеличить