Официальное опубликование правовых актов
ОФИЦИАЛЬНОЕ ОПУБЛИКОВАНИЕ
Распоряжение Комитета по государственному контролю, использованию и охране памятников истории и культуры Санкт-Петербурга от 07.04.2022 № 276-рп
"О включении в перечень выявленных объектов культурного наследия объекта, обладающего признаками объекта культурного наследия "Монумент Героическим Защитникам Ленинграда", об утверждении границ территории объекта культурного наследия"
Номер опубликования: 7801202204120003
Дата опубликования: 12.04.2022
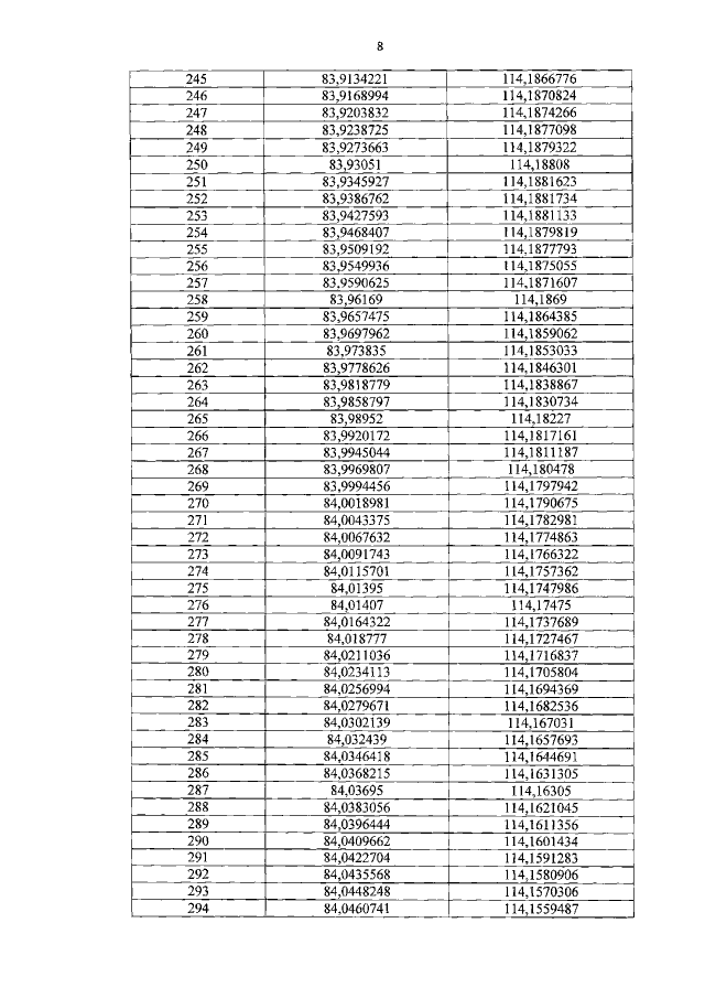
Страница №10 из 12:
Увеличить