Официальное опубликование правовых актов
ОФИЦИАЛЬНОЕ ОПУБЛИКОВАНИЕ
Распоряжение Комитета по государственному контролю, использованию и охране памятников истории и культуры Санкт-Петербурга от 06.04.2022 № 271-рп
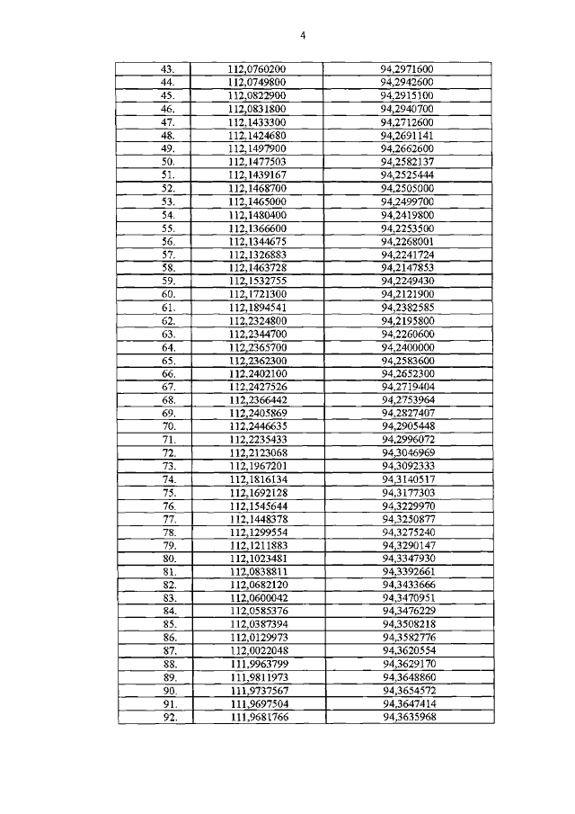
"Об утверждении границ и режима использования территории объекта культурного наследия регионального значения "Ансамбль Сестрорецкого оружейного завода"
Номер опубликования: 7801202204080012
Дата опубликования: 08.04.2022
Страница №6 из 8:
Увеличить