Официальное опубликование правовых актов
ОФИЦИАЛЬНОЕ ОПУБЛИКОВАНИЕ
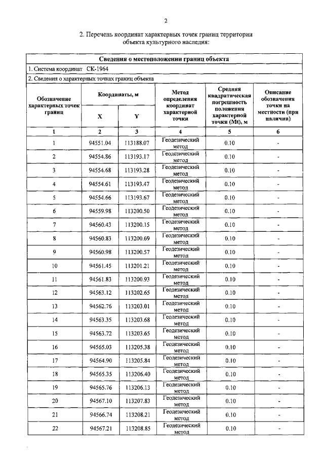
Распоряжение Комитета по государственному контролю, использованию и охране памятников истории и культуры Санкт-Петербурга от 25.03.2022 № 221-рп
"Об утверждении границ и режима использования территории объекта культурного наследия федерального значения "Дом, где жили: в 1906-1910 гг. физик Голицин Б.Б., в 1890 г., в 1893 г. - композитор Чайковский П.И."
Номер опубликования: 7801202204040008
Дата опубликования: 04.04.2022
Страница №4 из 7:
Увеличить