Официальное опубликование правовых актов
ОФИЦИАЛЬНОЕ ОПУБЛИКОВАНИЕ
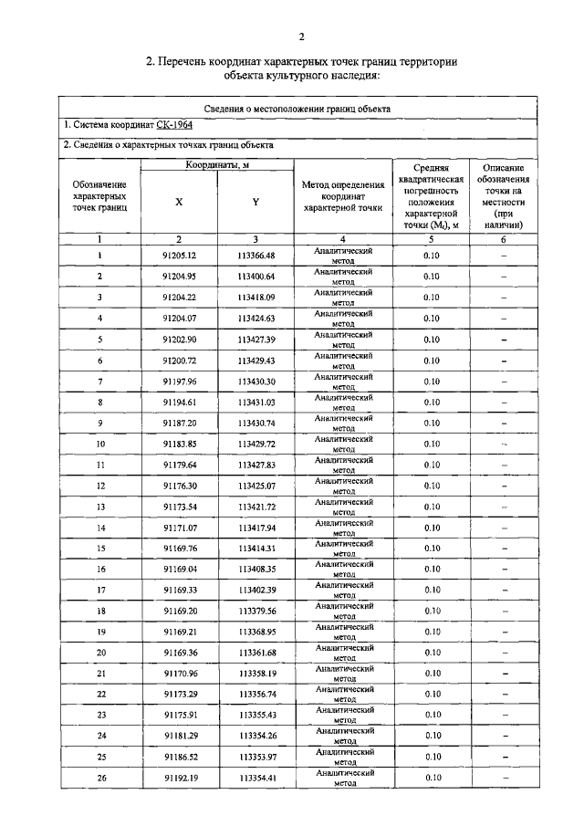
Распоряжение Комитета по государственному контролю, использованию и охране памятников истории и культуры Санкт-Петербурга от 15.03.2022 № 189-рп
"Об утверждении границ и режима использования территории объекта культурного наследия федерального значения "Церковь Воскресения Христова"
Номер опубликования: 7801202203240008
Дата опубликования: 24.03.2022
Страница №4 из 6:
Увеличить