Официальное опубликование правовых актов
ОФИЦИАЛЬНОЕ ОПУБЛИКОВАНИЕ
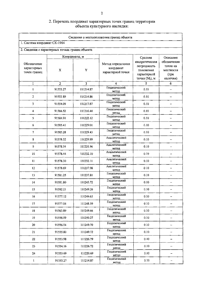
Распоряжение Комитета по государственному контролю, использованию и охране памятников истории и культуры Санкт-Петербурга от 08.02.2022 № 95-рп
"Об утверждении границ и режима использования территории объекта культурного наследия регионального значения "Дом Товарищества русских паровых маслобоен с палисадником и оградой"
Номер опубликования: 7801202202150022
Дата опубликования: 15.02.2022
Страница №4 из 5:
Увеличить