Официальное опубликование правовых актов
ОФИЦИАЛЬНОЕ ОПУБЛИКОВАНИЕ
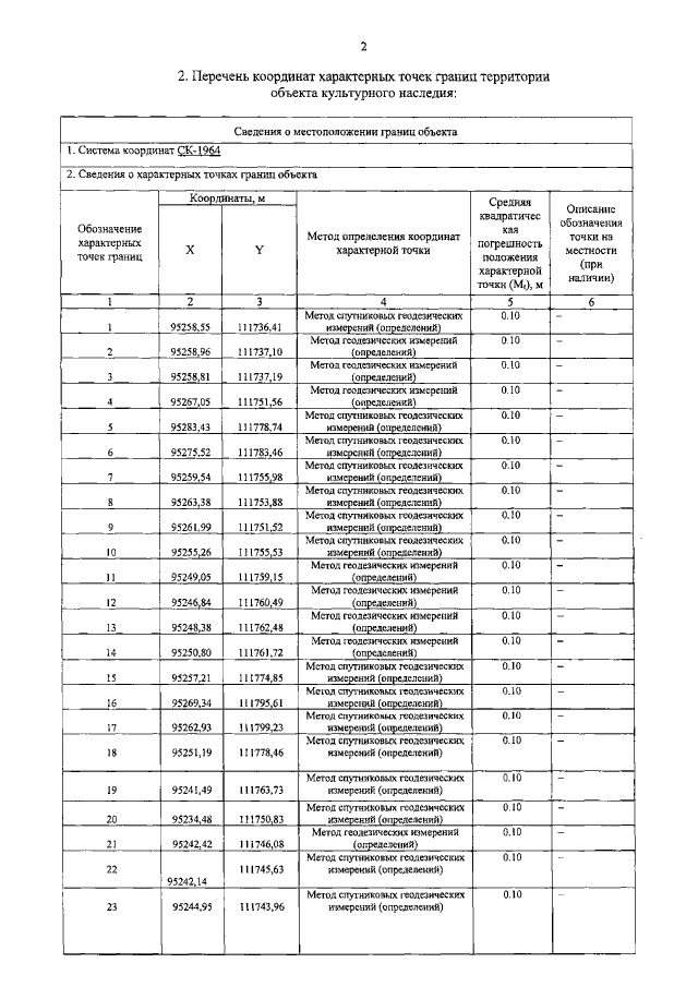
Распоряжение Комитета по государственному контролю, использованию и охране памятников истории и культуры Санкт-Петербурга от 28.12.2021 № 434-рп
"Об утверждении границ и режима использования территории объекта культурного наследия регионального значения "Квартира, где в 1915-1929 гг. жил художник Рылов Аркадий Александрович"
Номер опубликования: 7801202201010024
Дата опубликования: 01.01.2022
Страница №4 из 6:
Увеличить