Официальное опубликование правовых актов
ОФИЦИАЛЬНОЕ ОПУБЛИКОВАНИЕ
Распоряжение Комитета по экономической политике и стратегическому планированию Санкт-Петербурга от 15.12.2021 № 273-р
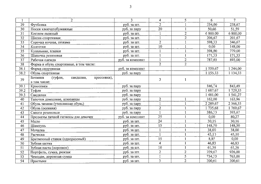
"Об утверждении нормативов финансовых затрат бюджета Санкт-Петербурга на возмещение полной стоимости питания, комплекта одежды, обуви, мягкого инвентаря и оборудования лицам из числа детей-сирот и детей, оставшихся без попечения родителей, лицам, потерявшим в период обучения обоих родителей или единственного родителя, обучающимся по очной форме обучения в государственных образовательных учреждениях, реализующих основные профессиональные образовательные программы и(или) программы профессиональной подготовки по профессиям рабочих, должностям служащих, за исключением лиц, которым предоставлено полное государственное обеспечение на период их обучения в государственных образовательных учреждениях, реализующих основные профессиональные образовательные программы и(или) программы профессиональной подготовки по профессиям рабочих, должностям служащих, на 2022 год"
Номер опубликования: 7801202112210008
Дата опубликования: 21.12.2021
Страница №5 из 6:
Увеличить