Официальное опубликование правовых актов
ОФИЦИАЛЬНОЕ ОПУБЛИКОВАНИЕ
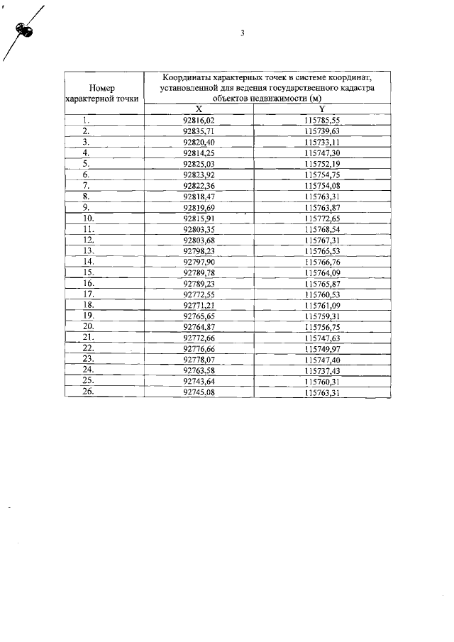
Распоряжение Комитета по государственному контролю, использованию и охране памятников истории и культуры Санкт-Петербурга от 19.11.2021 № 306-рп
"О внесении изменений в распоряжение КГИОП от 20.09.2021 № 209-рп"
Номер опубликования: 7801202111250007
Дата опубликования: 25.11.2021
Страница №5 из 5:
Увеличить