Официальное опубликование правовых актов
ОФИЦИАЛЬНОЕ ОПУБЛИКОВАНИЕ
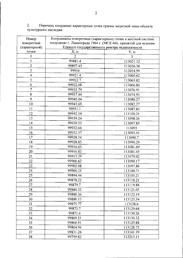
Распоряжение Комитета по государственному контролю, использованию и охране памятников истории и культуры Санкт-Петербурга от 17.11.2021 № 187-р
"Об установлении границы защитной зоны объекта культурного наследия регионального значения "Дом Д.И. Поршнева" и объекта культурного наследия регионального значения "Дом П.И. Поршневой", предусмотренной пунктами 3 и 4 статьи 34.1 Федерального закона от 25.06.2002 № 73-ФЗ "Об объектах культурного наследия (памятниках истории и культуры) народов Российской Федерации"
Номер опубликования: 7801202111220015
Дата опубликования: 22.11.2021
Страница №4 из 5:
Увеличить