Официальное опубликование правовых актов
ОФИЦИАЛЬНОЕ ОПУБЛИКОВАНИЕ
Распоряжение Комитета по государственному контролю, использованию и охране памятников истории и культуры Санкт-Петербурга от 09.06.2021 № 39-рп
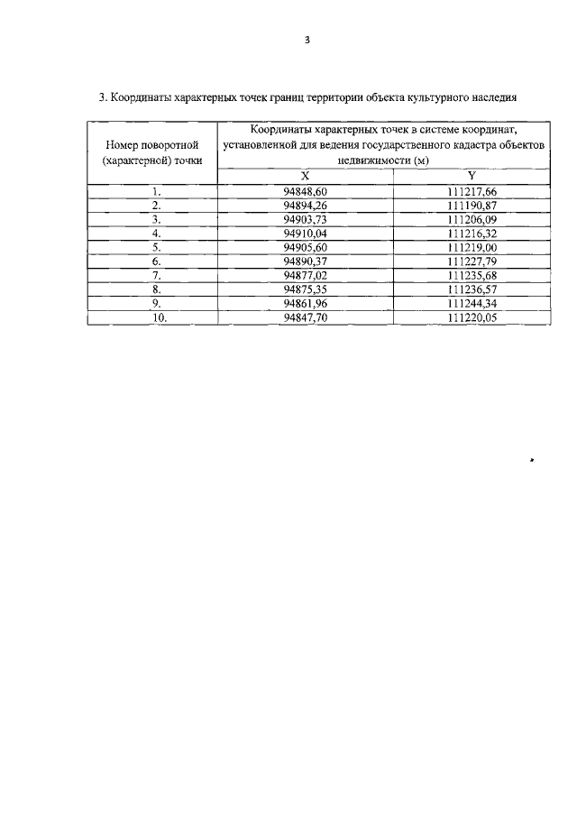
"О включении выявленного объекта культурного наследия в единый государственный реестр объектов культурного наследия (памятников истории и культуры) народов Российской Федерации в качестве объекта культурного наследия регионального значения "Дом А.А. Смирнова", об утверждении границ и режима использования территории объекта культурного наследия"
Номер опубликования: 7801202106170015
Дата опубликования: 17.06.2021
Страница №5 из 6:
Увеличить