Официальное опубликование правовых актов
ОФИЦИАЛЬНОЕ ОПУБЛИКОВАНИЕ
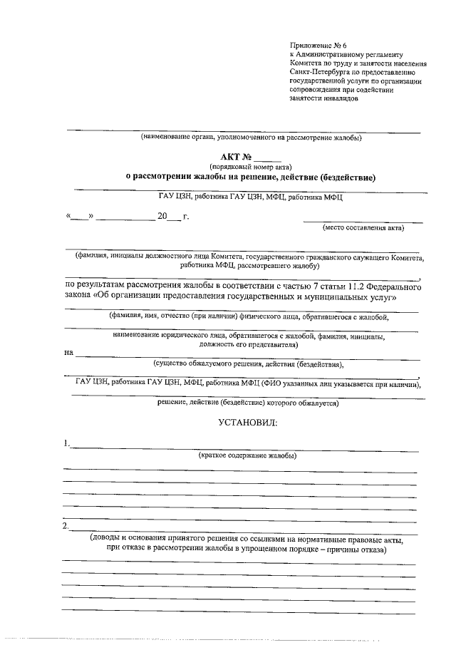
Распоряжение Комитета по труду и занятости населения Санкт-Петербурга от 26.05.2021 № 104-р
"О внесении изменения в распоряжение Комитета по труду и занятости населения Санкт-Петербурга от 05.03.2019 № 36-р"
Номер опубликования: 7801202106010013
Дата опубликования: 01.06.2021
Страница №43 из 44:
Увеличить