Официальное опубликование правовых актов
ОФИЦИАЛЬНОЕ ОПУБЛИКОВАНИЕ
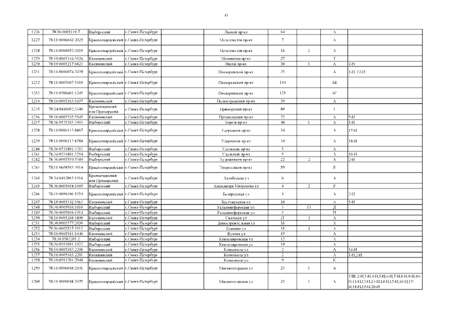
Приказ Комитета по контролю за имуществом СПб от 29.12.2020 № 128-п
"Об определении Перечня объектов недвижимого имущества, в отношении которых налоговая база определяется
как кадастровая стоимость, на 2021 год
"
Номер опубликования: 7801202101220003
Дата опубликования: 22.01.2021
Страница №42 из 174:
Увеличить