Официальное опубликование правовых актов
ОФИЦИАЛЬНОЕ ОПУБЛИКОВАНИЕ
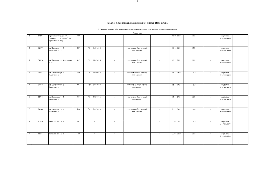
Распоряжение Комитета по промышленной политике, инновациям и торговле Санкт-Петербурга от 17.12.2020 № 4878-р
"О внесении изменений в распоряжение Комитета по развитию предпринимательства и потребительского рынка Санкт-Петербурга от 20.10.2017 № 5371-р"
Номер опубликования: 7801202012220011
Дата опубликования: 22.12.2020
Страница №8 из 1406:
Увеличить