Официальное опубликование правовых актов
ОФИЦИАЛЬНОЕ ОПУБЛИКОВАНИЕ
Распоряжение Комитета по образованию Санкт-Петербурга от 05.10.2020 № 1847-р
"О внесении изменения в распоряжение Комитета по образованию от 25.06.2020 № 1273-р"
Номер опубликования: 7801202010060002
Дата опубликования: 06.10.2020
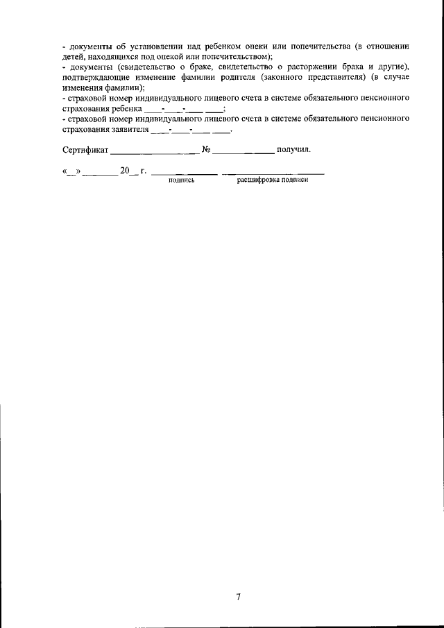
Страница №9 из 73:
Увеличить