Официальное опубликование правовых актов
ОФИЦИАЛЬНОЕ ОПУБЛИКОВАНИЕ
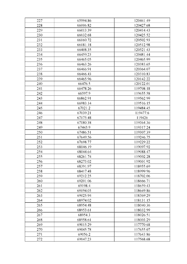
Распоряжение Комитета по государственному контролю, использованию и охране памятников истории и культуры Санкт-Петербурга от 19.08.2020 № 259-р
"Об утверждении границ и режима использования территории объекта культурного наследия федерального значения "Водовод Таицкий (система с сооружениями)"
Номер опубликования: 7801202008250002
Дата опубликования: 25.08.2020
Страница №34 из 40:
Увеличить