Официальное опубликование правовых актов
ОФИЦИАЛЬНОЕ ОПУБЛИКОВАНИЕ
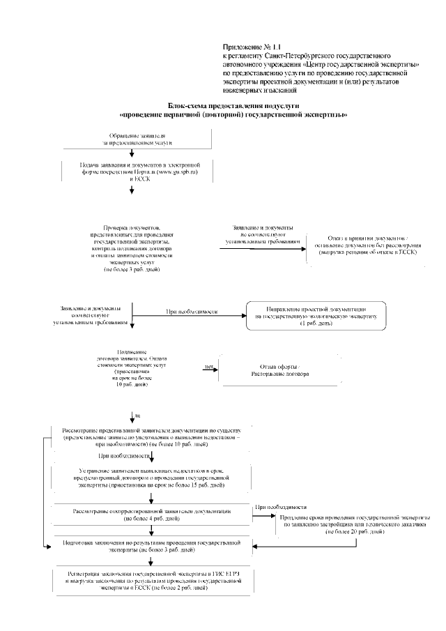
Распоряжение Службы государственного строительного надзора и экспертизы Санкт-Петербурга от 29.05.2020 № 6-р/20
"Об утверждении регламента СПб ГАУ "ЦГЭ" по предоставлению услуги по проведению государственной экспертизы проектной документации и (или) результатов инженерных изысканий"
Номер опубликования: 7801202006050009
Дата опубликования: 05.06.2020
Страница №70 из 155:
Увеличить