Официальное опубликование правовых актов
ОФИЦИАЛЬНОЕ ОПУБЛИКОВАНИЕ
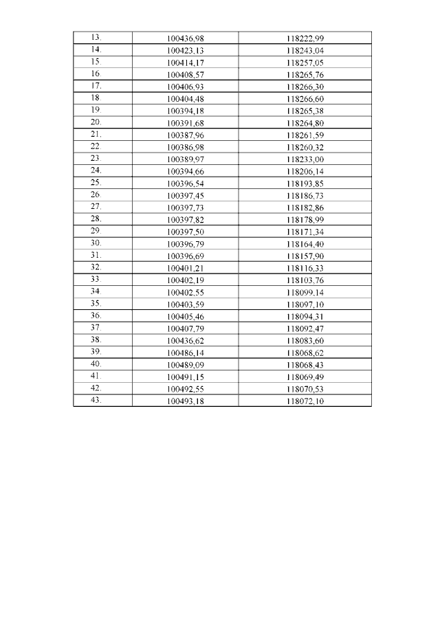
Распоряжение Комитета по государственному контролю, использованию и охране памятников истории и культуры Санкт-Петербурга от 15.05.2020 № 143-р
"Об утверждении границ и режима использования территории объекта культурного наследия регионального значения "Братская могила жителей Ленинграда, погибших в годы Великой Отечественной войны 1941-1945 г.г."
Номер опубликования: 7801202005220008
Дата опубликования: 22.05.2020
Страница №5 из 6:
Увеличить