Официальное опубликование правовых актов
ОФИЦИАЛЬНОЕ ОПУБЛИКОВАНИЕ
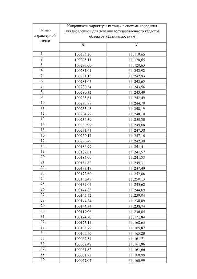
Распоряжение Комитета по государственному контролю, использованию и охране памятников истории и культуры Санкт-Петербурга от 15.05.2020 № 140-р
"Об утверждении границ и режима использования территории объекта культурного наследия федерального значения "Братские могилы защитников и жителей г. Ленинграда, погибших во время блокады 1941-1944 гг."
Номер опубликования: 7801202005220001
Дата опубликования: 22.05.2020
Страница №5 из 7:
Увеличить