Официальное опубликование правовых актов
ОФИЦИАЛЬНОЕ ОПУБЛИКОВАНИЕ
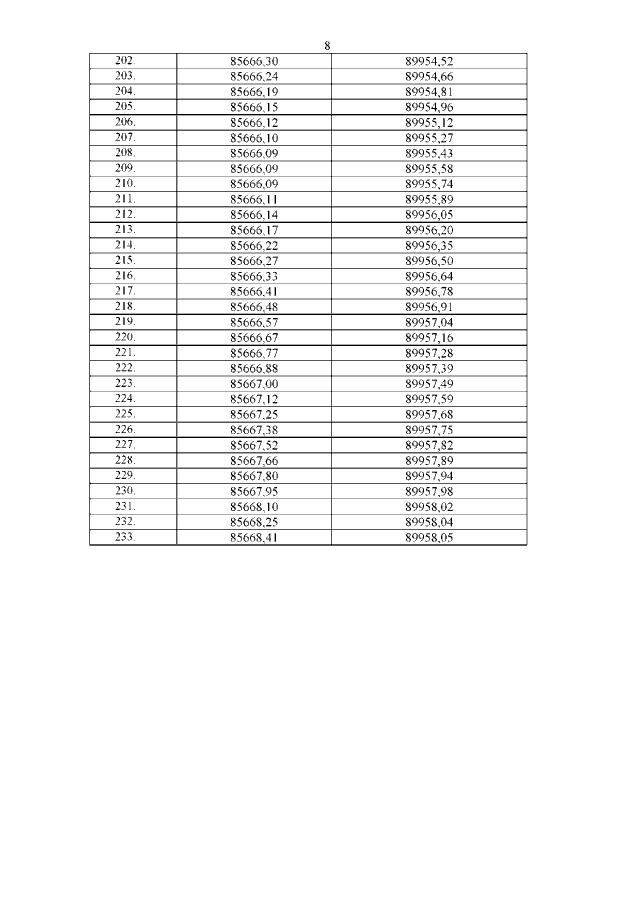
Распоряжение Комитета по государственному контролю, использованию и охране памятников истории и культуры Санкт-Петербурга от 26.02.2020 № 64-р
"Об утверждении границ и режима использования территории объекта культурного наследия федерального значения "Парк Луговой (Озерковый)"
Номер опубликования: 7801202003020001
Дата опубликования: 02.03.2020
Страница №10 из 11:
Увеличить