Официальное опубликование правовых актов
ОФИЦИАЛЬНОЕ ОПУБЛИКОВАНИЕ
Распоряжение Жилищного комитета Санкт-Петербурга от 18.02.2020 № 107-р
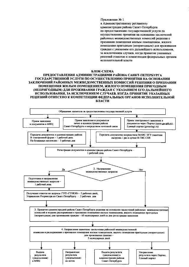
"Об утверждении Административного регламента администрации района Санкт-Петербурга по предоставлению государственной услуги по осуществлению принятия на основании заключений районных межведомственных комиссий решения о признании помещения жилым помещением, жилого помещения пригодным (непригодным) для проживания граждан с указанием его дальнейшего использования, за исключением случаев, когда принятие указанных решений отнесено к компетенции федеральных органов исполнительной власти"
Номер опубликования: 7801202002250005
Дата опубликования: 25.02.2020
Страница №37 из 54:
Увеличить