Официальное опубликование правовых актов
ОФИЦИАЛЬНОЕ ОПУБЛИКОВАНИЕ
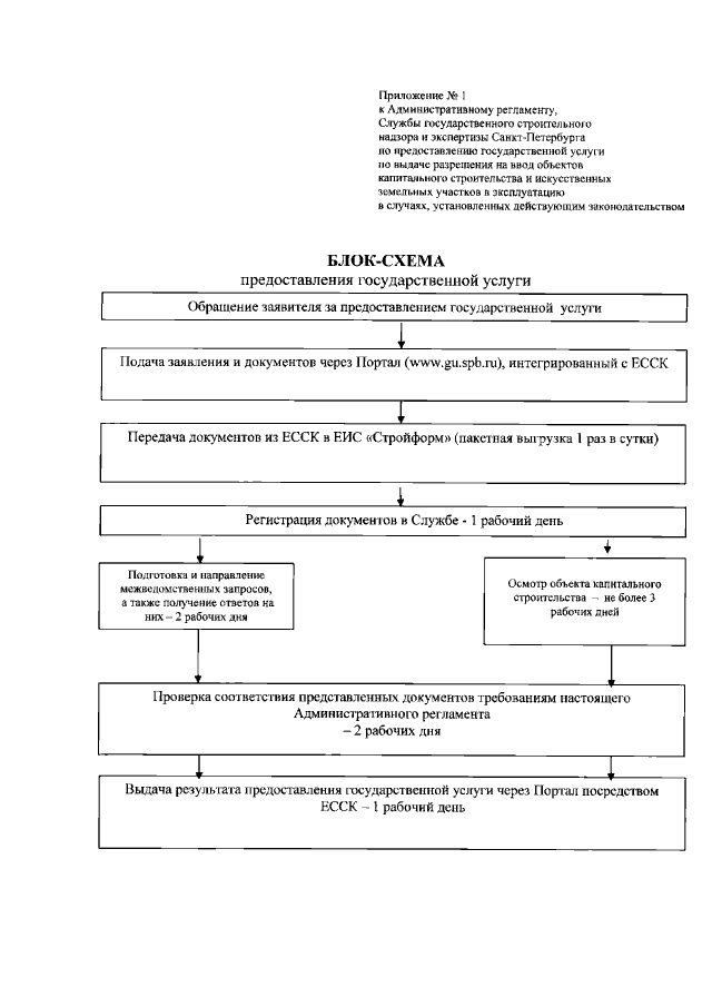
Распоряжение Службы государственного строительного надзора и экспертизы Санкт-Петербурга от 13.02.2020 № 4-р/20
"О внесении изменений в распоряжение Службы государственного строительного надзора и экспертизы Санкт-Петербурга от 30.12.2016 № 10-р"
Номер опубликования: 7801202002140004
Дата опубликования: 14.02.2020
Страница №32 из 53:
Увеличить